Maksud Peribahasa Melentur Buluh Biarlah Waktu Rebungnya

Melentur Buluh Biarlah Dari Rebungnya

Melentur Buluh Biarlah Dari Rebungnya

Laman Web Rasmi Sekolah Menengah Agama Negeri Pahang

Laman Web Rasmi Sekolah Menengah Agama Negeri Pahang

Fahamkan Peribahasa Dan Simpulan Bahasa Di Bawah Kemudian Bina Ayat Bagi Setiap Peribahasa Dan Simpulan Bahasa Di Ruang Komen Yang Disediakan Literasi Bahasa Melayu

Fahamkan Peribahasa Dan Simpulan Bahasa Di Bawah Kemudian Bina Ayat Bagi Setiap Peribahasa Dan Simpulan Bahasa Di Ruang Komen Yang Disediakan Literasi Bahasa Melayu

Versi E Book Kompendium Peribahasa Pages 51 100 Flip Pdf Download Fliphtml5

Versi E Book Kompendium Peribahasa Pages 51 100 Flip Pdf Download Fliphtml5

100 Karangan Contoh Pmr Dan Spm By Zaiton Zaba Issuu

100 Karangan Contoh Pmr Dan Spm By Zaiton Zaba Issuu

Peribahasa

Peribahasa

Peribahasa

Maksud Peribahasa Melentur Buluh Biarlah Waktu Rebungnya

Maksud Peribahasa Melentur Buluh Biarlah Waktu Rebungnya

Berikut Adalah Antara Peribahasa Yang Mempunyai Maksud Yang Sama Atau Hampir Sama

Berikut Adalah Antara Peribahasa Yang Mempunyai Maksud Yang Sama Atau Hampir Sama

49 Peribahasa Popular

49 Peribahasa Popular

Melentur Buluh Biarlah Waktu Rebung Hizbun Annabi Wa Aalibaitihi Wa Ashabihi Facebook

Melentur Buluh Biarlah Waktu Rebung Hizbun Annabi Wa Aalibaitihi Wa Ashabihi Facebook

Jawapan Peribahasa Tahun 5 Doc

Jawapan Peribahasa Tahun 5 Doc

Pdf Koleksi Peribahasa Melayu Simpulan Bahasa Dan Maksud Alkautsar Katering Academia Edu

Pdf Koleksi Peribahasa Melayu Simpulan Bahasa Dan Maksud Alkautsar Katering Academia Edu

Pdf Inovasi Pengajaran Dan Pembelajaran Peribahasa Melayu Menggunakan Semantik Inkuisitif Innovation In The Teaching And Learning Of Malay Proverbs Using The Inquisitve Semantics

Pdf Inovasi Pengajaran Dan Pembelajaran Peribahasa Melayu Menggunakan Semantik Inkuisitif Innovation In The Teaching And Learning Of Malay Proverbs Using The Inquisitve Semantics

Pepatah Berilustrasi Sekolah Rendah Tahap I Ii Buddy Bookstore

Pepatah Berilustrasi Sekolah Rendah Tahap I Ii Buddy Bookstore

Senarai Peribahasa Dalam Buku Teks Tingkatan 4 Dan 5

Senarai Peribahasa Dalam Buku Teks Tingkatan 4 Dan 5

Peribahasa Jawapan

Peribahasa Jawapan

Pepatah Melayu Melentur Buluh Biarlah Dr Asyraf Wajdi Dusuki Facebook

Pepatah Melayu Melentur Buluh Biarlah Dr Asyraf Wajdi Dusuki Facebook

Peribahasa Bm

Peribahasa Bm

Latihan Peribahasa

Latihan Peribahasa

Karangan Proses

Karangan Proses

Laman Ilmu Peribahasa

Laman Ilmu Peribahasa

Tutor Tv Pt3 No Twitter Ketahuilah Apa Maksud Peribahasa Dan Jenis Jenisnya Pt3 Pt32015 Batch00 Tutortvpt3 Pelajar Bahasamelayu Http T Co Gxf0uwjrem

Tutor Tv Pt3 No Twitter Ketahuilah Apa Maksud Peribahasa Dan Jenis Jenisnya Pt3 Pt32015 Batch00 Tutortvpt3 Pelajar Bahasamelayu Http T Co Gxf0uwjrem

Contoh Karangan Spm Kegiatan Badan Beruniform Dan Faedahnya

Contoh Karangan Spm Kegiatan Badan Beruniform Dan Faedahnya

Peribahasa

Peribahasa

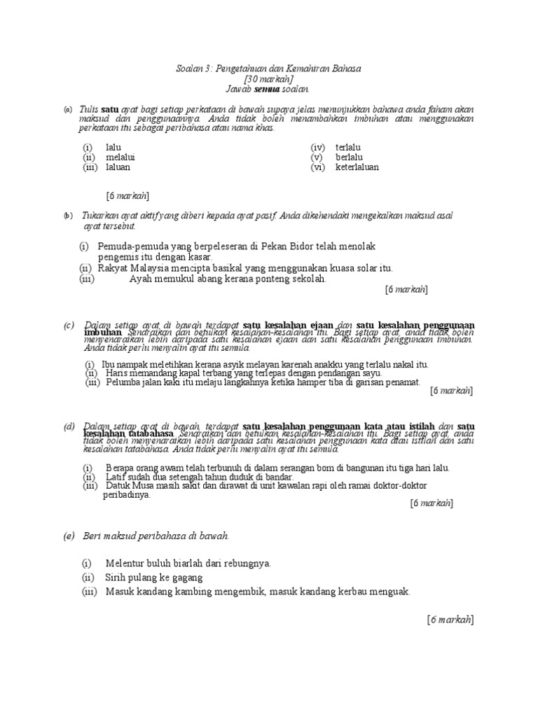
Pengemis Itu Dengan Kasar Imbuhan Senaraikan Dan Betulkan Kesalahan Kesalahan Itu Bagi Setiap Ayat Anda Tidak Boleh

Pengemis Itu Dengan Kasar Imbuhan Senaraikan Dan Betulkan Kesalahan Kesalahan Itu Bagi Setiap Ayat Anda Tidak Boleh

Peribahasa

Peribahasa

Pdf Bahasa Dan Pemikiran Dalam Peribahasa Melayu

Pdf Bahasa Dan Pemikiran Dalam Peribahasa Melayu

Melankolia Maksud Simpulan

Melankolia Maksud Simpulan

Source : pinterest.com