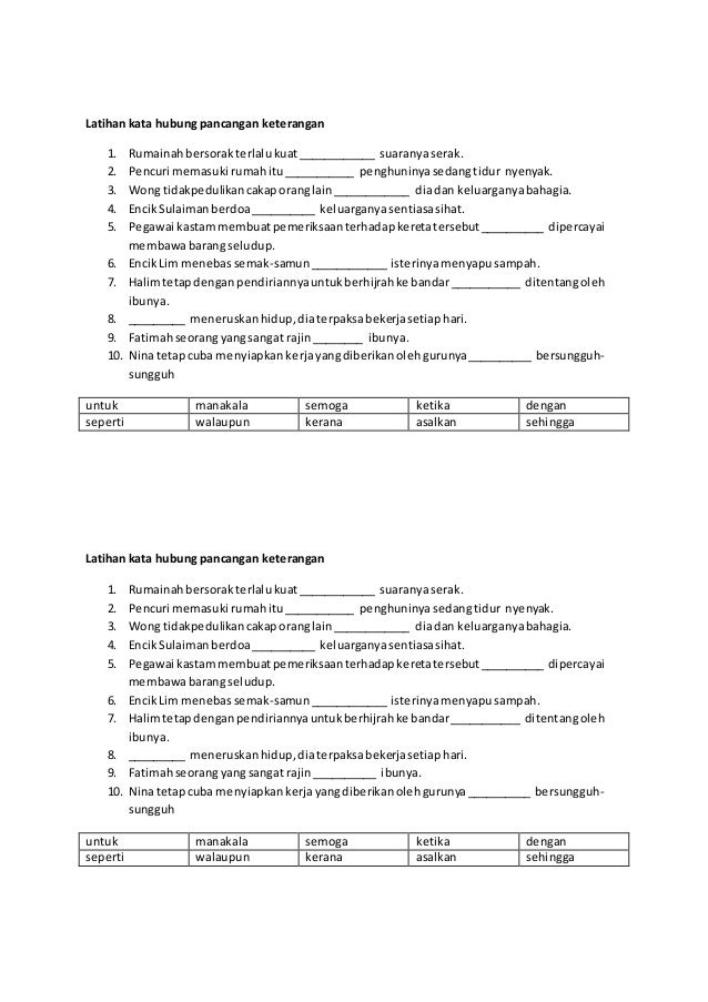
Latihan Kata Hubung Pancangan Relatif Tahun 5

Rashid sidek merupakan pemain badminton bahawa dikenali ramai pada tahun 80 an.
Latihan kata hubung pancangan relatif tahun 5. Bahasa melayu tahun 5 kata hubung kata hubung. Kata hubung pancangan keterangan. Kata sendi nama by vangles. Siri tatabahasa bahasa melayu kata hubung pancangan relatif slideshare uses cookies to improve functionality and performance and to provide you with relevant advertising.
Latihan kata hubung pancangan relatif dan komplemen yang sesuai 1. Kata nama am by rafireeriee. Untuk guru menengah atas. Kata kerja tahun 2 by valarmathi66.
Bahasa melayu tahun 4 kata kerja aktif duration. Terutamanya pada hari guru teringat semula peristiwa yang berlaku tiga puluh tahun dahulu beliau bertugas sebagai guru di kawasan pedalaman. Kata hubung latihan tahun 3 2 kata hubung tahun 3 1 kata kosa 4 kata nama khas 1 kata seru 3 kata seru contoh 4 kata tanya 1 kbsr perkataan berlawan 17. Latihan kata nafi by nurulsanid88.
Koleksi soalan soalan objektif 5 kata hubung latihan bertubi 5 isi tempat kosong dengan jawapan yang paling sesuai. Kerana agar meskipun sekiranya semoga supaya kalau. Kata hubung pancangan relatif dan komplemen tahun 5 ct hawairah. Baik bukan saja bahkan juga.
Kata hubung pancangan relatif komplemen by norzie. Saya yakin bahawa cerita kamu adalah benar. Kata hubung pancangan komplemen dan relatif. 8 00 pagi 12 30 tengah hari.
1 digunakan untuk menghubungkan kata dengan kata frasa dengan frasa dan ayat dengan ayat. Kata hubung ialah kata yang menghubungkan kata dengan kata frasa dengan frasa dan ayat dengan ayat. Antara contoh kata hubung pancangan keterangan ialah. Gadis itu menyedari dia dalam bahaya sekarang.
Menara eiffel ialah bahawa paling terkenal antara banyak menara sedemikian di perancis. Kata hubung ini menghubungkan satu klausa sebagai komplemen pada satu klausa utama. Saya terkejut apabila mendengar berita itu. Ayat majmuk pancangan relatif aktiviti pengayaan id.
Dia menyatakan kebakaran itu berpunca daripada litar pintas. Kata nama am by rafireeriee. Atau dan lalu maka tetapi serta kecuali sambil malahan kemudian. Isi tempat kosong bagi kata hubung pancangan relatif dan komplemen yang sesuai.
Unsubscribe from ct hawairah. Jadi klausa klausa pancangan komplemen itu melengkapkan klausa utama. Sm tsun jin kuala lumpur. Kata hubung yang berperanan begitu ialah bahawa dan untuk.
Saya berharap agarkamu dapat dating.